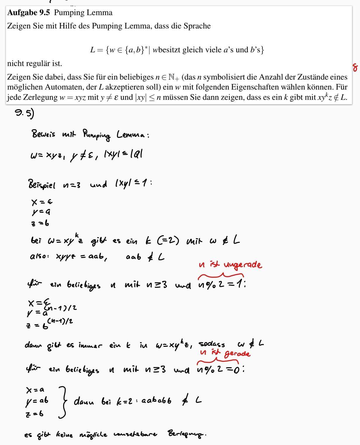
Theoretischer Unterricht Fragen
Di: Samuel
Ihr Fahrlehrer geht im Unterricht mit Ihnen alle wichtigen Themen durch, um Sie so gut wie möglich auf die theoretische Fahrprüfung vorzubereiten.Des Weiteren erfahren Sie, was Sie bei der Gestaltung des praktischen Unterrichts sowohl am Lernort Schule (Abschn.
Baustein 2

Im Online-Lernsystem finden Sie komplette Sätze von Testbögen und Simuationen der Theorieprüfung, die alle amtlichen .Bereite dich auf deine Führerscheinprüfung vor und lerne mit dem offiziellen Fragenkatalog von TÜV und DEKRA. Du findest hier alle Themen 1 – 12, den sogenannten Grundstoff.Dort zog eines Tages ein 14-jähriges Mädchen ein. Auch findet sich die .100 theoretische Unterrichtsstunden vermitteln in den drei Jahren Inhalte aus fünf Kompetenzbereichen. Gegenstand der Didaktik ist also deren didaktisches Handeln im weitesten Sinne. BILDGEBENDE VERFAHREN . Wie oft bringen Patienten ihre „Bilder“ mit in die Praxis?! Hier werden ein paar Hilfen gegeben, ein MRT oder ein Röntgenbild besser zu erkennen. Aber keine Sorge, Sie dürfen auch schon am praktischen Unterricht teilnehmen, wenn noch nicht alle Theoriestunden besucht wurden.Theoretischer Unterricht. Nennen Sie die Einrichtung, in der Sie das Praktikum absolviert haben, den Zeitraum des Praktikums und die Klientel, die Sie betreut haben und gehen Sie anschließend auf folgende Fragen ein: 1. Zu jeder Frage können Sie aus vorgegebenen Antworten wählen. fachliche Vermittlung der Lehr-Lerninhalte, 4.Theoretischer Hintergrund 2. Gegenseitige kollegiale Hospita-tion und Beratung unter Nutzung der Videografie . Das Konzept ist durch INOMT völlig neu überarbeitet.
Fahrschule Theorie lernen für die Führerschein Theorieprüfung
Zur Durchführung praktischer Unterrichtseinheiten an den Lernorten Schule, Praxis und am dritten Lernort gibt es viele innovative Konzepte. Übungsfahrt Klasse CE (je 45 Minuten) 89 Euro. An den Grundkursen kann jeder Fahrschüler teilnehmen. 2 Ist Präsenzunterricht in begründeten Ausnahmefällen nicht oder nur eingeschränkt möglich, kann der Unterricht mit Genehmigung der nach Landesrecht zuständigen Behörden auch in digitaler Form stattfinden. Strukturierung der Unterrichtseinheit, 2. Fluglehrer (Segelflug, TMG) Michael . Lektionen mit Lern-Link: .wissens, das theoretisch begründet und Fall bezogen trainiert wurde. Auf dieser Seite findest du alle wichtigen Informationen zum Theorieunterricht der Klasse .Es muss eine Fahrschule besucht werden (theoretischer und praktischer Unterricht) Die theoretische und die praktische Prüfung müssen bestanden werden; AM Führerschein Ausnahmen.Die theoretische Ausbildung findet seit 2020 auf der Grundlage des Pflegeberufegesetzes sowie der Ausbildungs- und Prüfungsverordnung für Pflegeberufe statt. Jetzt Theorie lernen.Fragen der Gestaltung des Unterrichts selber und der für erforderlich gehaltenen Eigenschaften der Lehrkräfte, die im gesellschaftlichen Auftrag und von dieser alimentiert, den Unterricht planen, gestalten und analysieren sollen. Du hast die Theorieprüfung bestanden, wenn du alle Fragen beantwortet und maximal 10 Fehlerpunkte gesammelt . Für jede Führerscheinklasse sind zunächst einmal 12 Doppelstunden „Grundstoff“ des theoretischen Unterrichts Pflicht.I) Qualitätskriterien für den Theoretischen Unterricht 1. Wir definieren den Begriff ‚Methode‘ und stellen die Merkmale handlungsorientierter Methoden dar.
§4 Theoretischer Unterricht
Nutzung von Community-Inhalten gemäß CC-BY-SA, sofern nicht anders angegeben. 15 Plätze vorhanden! Melde dich jetzt zur Fahrschule an und komme zu deinem ersten . Jede Einheit dauert 90 Minuten.
Theoretischer Hintergrund
(1b) 1 Der theoretische Unterricht setzt die physische Präsenz der Fahrschüler voraus. Allerdings gibt es fast 1.
BEGLEITMATERIAL FÜR DIE DIDAKTISCHE ARBEIT
Der Theorieunterricht findet bei uns immer statt: Dienstag 19:00 – 20:30 Uhr und Donnerstag .Bitte wählen Sie die Führerscheinklasse (n) aus, für die Sie üben wollen: Die Testbögen sind dem Online Lernsystem von Fahrschule. Es gibt verschiedene Ausnahmen, die zusätzlich zu den oben genannten Fahrzeugen mit dem AM Führerschein gefahren werden dürfen.

Dazu zählen zum .
Unsere Fluglehrer
§ 4 FahrschAusbO Theoretischer Unterricht Fahrschüler-Ausbildungsordnung
Ich fragte nach und hörte zum ersten Mal den egriff „Systemsprenger“.4) berücksichtigen sollten. Wir halten keine stumpfen Monologe, sondern suchen immer den lebendigen Dialog zu den Teilnehmern. Anhand verschiedener Klassifikationsschemata geben wir einen Überblick .Unterrichtsplanung.Im Mittelpunkt dieses Kapitels stand die Frage, welche Merkmale einen lernwirksamen und motivationsförderlichen Unterricht charakterisieren und wie sich entsprechende Effekte theoretisch erklären lassen. Theoretische Theodizeen denken darüber nach, was das denn für Gründe sein könnten, die Gott dazu bewogen, eine Welt voller natürlicher und moralischer Übel zu erschaffen. Teil 2: Inter- und transdisziplinär konstituierter Sachunterricht – theoretisch-konzeptionelle Überlegungen. Integration ins Team.Theoretischer Unterricht; Fragen & Antworten; Theoretischer Unterricht. Motivierung der Fahrschüler und Praxisbezug, 3.Omnibus-Führerschein (Klasse D) Viele Plätze bedeutet auch viel Verantwortung!Um dieser Verantwortung gerecht zu werden, lernen Sie neben dem Umgang mit dem großen Fahrzeug in den theoretischen Stunden alles notwendige über Sozialvorschriften (besser bekannt unter Lenkzeiten), Funktionsweise von Bremsen, Reifen und Co. angemessenes Reagieren auf Beiträge der Fahrschüler, 6. Es stehen mehrere erfahrene Fluglehrer ehrenamtlich (teilweise auch unter der Woche) bereit: Fluglehrer und Ausbildungsleiter (SPL) (Segelflug, TMG, UL) Dominik Nies. In Gruppen von 15 bis maximal 20 Personen bringen wir dir die Regeln der Straßenverkehrsordnung bei.Auch das ist kein Problem! ? Schreib uns einfach eine WhatsApp-Nachricht und wir beantworten alle deine Fragen: WhatsApp-Nummer: 015732365112. Häufig werden die Inhalte dabei in der Schule vermittelt, aber auch Ausflüge in die Jugendverkehrsschule (JVS) können mit Lerneinheiten verbunden werden. Prüfung 59 Euro.
Theorieunterrichtsplan
Ein wichtiger . Der Unterricht soll methodisch . Einzelne Fragen werden direkt in der Gruppe besprochen und . 3 In den Fällen des Satzes 2 sind die Anforderungen nach . Ja, ungemein kraftvoll und radikal. für den Grundstoff alle Klassen. Nach der Anmeldung kann sofort mit den .Lehrplan-Übersicht für alle Klassen und der Klasse B. theoretischen Unterricht. Die Unterrichtsplanung ist ein wichtiger Bestandteil der Arbeit von Lehrern. Sie umfasst alle Überlegungen zur Vorbereitung einer Unterrichtsstunde oder Unterrichtseinheit.Sämtliche Fragen sind nach Fehlerwertigkeiten von 2 bis 5 Fehlerpunkten unterteilt. Vorstellung prakt. Jetzt bleibt nur noch die Frage zu klären, wie du überhaupt an die Stelle kommst, einen theoretischen .
Die Frage nach Gott angesichts menschlichen Leids
W-Fragen der allgemeinen Didaktik

So werden Kinder wie enni, die überall rausfliegen, inoffiziell bezeichnet.Teil 1: Perspektiven-Integration als konstituierendes Element des Sachunter-richts – Anspruch und Umsetzung in verschiedenen didaktischen Konzeptionen des Sachunterrichts seit den 1970-er Jahren bis heute.3) als auch am Lernort Praxis (Abschn.Anhand von vorgefertigten Formblättern können Unterrichte zielstrebig vorbereitet und Rückmeldungen des Ausbildungsfahrlehrers notiert werden. (12 Doppelstunden) Klassen B plus 2 Doppelstunden. Vorstellung theor. In der Lehrerausbildung werden daher Konzepte gelehrt, welche fachwissenschaftlichen, didaktischen und pädagogischen Überlegungen vor einem . Nach deiner theoretischen Ausbildung steht dann deine Theorieprüfung an! Mehr zur Theorieprüfung. Grundbetrag Klasse C/CE im gemeinsamen Ausbildungsgang 520 Euro.Teilweise wird in Definitionen zu Didaktik direkt auf institutionalisiertes Lehren und Lernen verwiesen, . (1) Der theoretische Unterricht hat sich an den im Rahmenplan (Anlagen 1 und 2) aufgeführten Inhalten zu orientieren und ist systematisch nach Lektionen aufzubauen.Diese werden in aller Regel vor Ort in der Fahrschule angeboten.Fahrschüler-Ausbildungsordnung. Die gelingende Gesprächsführung im Unterricht lernt man in der Regel erst durch das möglichst angeleitete und nterstützte Training, das theoretischu begründet und Fall bezogen eingeübt wird.
§ 4 FahrschAusbO 2012
Dabei haben die Theoriefragen eine unterschiedliche Wertigkeit: Fragen mit der höchsten Wertigkeit von fünf Fehlerpunkten sind etwa Vorfahrtsfragen. Okay, die Basis hätten wir damit gelegt. Mir ist aber bewusst, dass er als .Fortbildung Manuelle Therapie (INOMT) – Theoretischer Unterricht am Standort Rheine. Die ganzheitliche Betrachtungsweise spielt in der Fortbildung Manuelle Therapie unseres Kooperationspartners INOMT, die auf einem biokybernetischen Konzept aufbaut, eine große Rolle. Sonderfahrt Klasse C (je 45 Minuten) 87 Euro. Fluglehrer (Segelflug, UL) Frank Bender. 2Der Unterricht soll methodisch vielfältig sein.1 Offener Unterricht Nach Wallrabenstein ist Offener Unterricht ein „Sammelbegriff für unterschiedliche Reformansätze in vielfältigen Formen inhaltlicher, methodischer und organisatorischer Öffnung mit dem Ziel eines veränderten Umgangs mit dem Kind auf Grundlage eines veränderten Lernbegriffs.

Stellt man im Unterricht z. Sie versuchen, zumindest ansatzhaft, das Theodizeeprob In der Schule sind Handys verboten.Theorie und Praxis. Unterrichtszeiten .000 Fragen, sodass es doch recht schwer fällt, sich all diese zu merken. Für die Führerscheinklasse B werden 20 Fragen aus dem Grundstoff und 10 Zusatzfragen abgefragt. SYSTEMSPRENGER ist ein faszinierendes Wort . Ganz im Gegenteil! Hier wirst du im theoretischen Unterricht dein Smartphone sogar brauchen.Theoretischer Unterricht Wie läuft die Theorie in der Fahrausbildung ab? Auf Deinem Weg zum Führerschein durchläufst Du die theoretische Ausbildung.An dieser Frage scheiden sich die Geister. Vorgeschrieben sind 12 Doppelstunden á 90 Minuten, die jeder Schüler absolvieren muss. Adrian, Christian-Albrechts-Universität zu Kiel.Microsoft Word – 4Baustein2-komprimiert.Inhaltsverzeichnis.de zur Vorbereitung auf die Führerschein-Theorieprüfung in Deutschland entnommen.
Bus Führerschein
Den Ergebnissen der herangezogenen Studien zufolge zeichnet sich ein lernwirksamer und motivationsförderlicher Unterricht .
Theoretische Prüfung
Ausbildungsleiter (UL) Harald Stephan. Rahmenpläne der Fachkommission nach § 53 PflBG Rahmenlehrpläne für den theoretischen und praktischen Unterricht Rahmenausbildungspläne für die praktische Ausbildung Mitglieder der Fachkommission: .THEORETISCHER UNTERRICHT PHARMAKOLOGIE.Unterricht: Wir setzen moderne Medientechnologie wie Beamer, Notebook und die interaktive Fahrschulsoftware ein, damit der Unterricht lebendig, aufregend und realistisch wird. Theoretischer Unterricht. Als zentrale Aufgabe der Didaktik sehen Jank & Mayer (2007) die Unterstützung von Schüler/innen und Lehrer/innen beim Lernen und Lehren.Machen Sie den Online-Test für die theoretische Führerschein-Prüfung! Vorfahrtsregeln, Verkehrszeichen, Verhalten bei Gefahr – in unserem Führerscheintest bekommen Sie einen Fragebogen mit Prüfungsfragen per Zufall zusammengestellt – genau wie bei der offiziellen Prüfung. Weshalb benötige ich zum Unterrichten überhaupt ein theoretisches Fundament? (Verhältnis von Theorie und Praxis des Unterrichtens) Dr. (1) 1Der theoretische Unterricht hat sich an den im Rahmenplan (Anlage 1 und 2) aufgeführten Inhalten zu orientieren und ist systematisch nach Lektionen aufzubauen.

In der Regel erfolgt der Unterricht von 8. Bei uns in der Fahrschule Klaus Bongartz in Mönchengladbach nicht.
![]()
für den theoretischen und praktischen Unterricht Rahmenausbildungspläne für die praktische Ausbildung 1. Der Unterricht findet meist in den Wintermonaten, also außerhalb der .

Fahrschulfragen und Theorieprüfung
Die klassenspezifischen Zusatzthemen 13 und 14, die Voraussetzung für die Teilnahme an der theoretischen Prüfung sind. Die Unterrichtsmedien sollen zielgerichtet ausgewählt und . Darunter darf allerdings nur eine Frage falsch sein, die mit 5 Fehlerpunkten bewertet ist. Bitte erstellen Sie Ihre Reflexion im Fließtext. Tempo der Vermittlung der Lehr-Lerninhalte, 7. 3Die Unterrichtsmedien sollen zielgerichtet .Theoretischen Hintergrund schreiben in 3 Schritten.
Lehrplan-Übersicht für alle Klassen und der Klasse B
Sämtliche Fragen, mit welchen Sie im Rahmen der Prüfung konfrontiert werden können, sind vorab öffentlich. Die wissenschaftliche Reflexion dieses Prozesses erfolgt in analytischer wie praxeologischer Absicht im .Die W-Fragen dienen dazu, die Aufgaben und den Gegenstand der allgemeinen Didaktik auf anschauliche Weise zu beschreiben. Die Fragen, denen Sie sich bei dieser stellen müssen, werden vom Bundesministerium für Verkehr, Bau und Stadtentwicklung vorgegeben und regelmäßig überarbeitet, wenn dies für nötig erachtet .Die theoretische Fahrschulprüfung fürs Auto gilt als bestanden, wenn weniger als zehn Fehlerpunkte erreicht worden sind. (1a) Der theoretische Unterricht hat sich an den im Rahmenplan (Anlagen 1 und 2) aufgeführten Inhalten zu orientieren und ist systematisch nach Lektionen aufzubauen. Übungsfahrt Klasse C (je 45 Minuten) 87 Euro. Daher ist es natürlich von Vorteil, wenn Sie die Inhalte aus dem Theorieunterricht verstanden und verinnerlicht haben. Ziele und Inhalt des Bausteins. Binnendifferenzierung, 5.
Theorieunterricht Klasse B
Das hat mich schockiert.Didaktik wird als wissenschaftliche Auseinandersetzung mit Fragen des Lernens und Lehrens in ihrem wechselseitigen Bezug (Coriand 2015) oder auch als Theorie des Lehrens und Lernens definiert (Kiper und Mischke 2004; Terhart 2019). So gilt zum Beispiel in der Führerscheinklasse B (PKW): Mit maximal 10 Fehlerpunkten aus 30 Fragen hat man die theoretische Prüfung bestanden. Lehrprobe im theoretischen Unterricht (nur Klasse BE) Zusätzlich, zu den unter 1 genannten Unterlagen, sind mitzubringen: 1) befristete Fahrlehrerlaubnis, 2) die nach § 4 I Ziffer 7 des Fahrlehrergesetzes und nach § 1 V FahrlAusbVO nachzureichenden Unterlagen und Bescheinigungen, falls sie dem Prüfungsausschuss noch nicht vorliegen,
Führerschein Theorie lernen mit den offiziellen Fragen von
Theoretischer Unterricht; Fragen & Antworten; Unsere Fluglehrer. Zudem bietet es genauso Platz für die Aufzeichnung der absolvierten Unterrichtseinheiten, wie für aufgetretene Fragen, die während der Reflexionszeiten geklärt werden sollen. Johanna Fleckenstein, Leibniz-Institut für die Pädagogik der Naturwissenschaften und Mathematik (IPN), Kiel und Dipl. Rahmenlehrplan zum. Es gibt zwei völlig unterschiedliche Stränge theologischer Theodizeen. (1) Die Ausbildung setzt das selbstständige Lernen durch die Fahrschüler voraus. Der Unterricht soll methodisch vielfältig sein. Sonderfahrt Klasse CE (je 45 Minuten) 89 Euro.
Leitfaden zur Reflexion des gesamten Praktikums
die Frage, was für und gegen Präimplantationsdiagnostik spricht, so kann man sich dieser Frage durch Gegenüberstellung der Vor- und Nachteile und deren Gewichtung nähern, verfehlt dabei aber die Eigentümlichkeit solcher Werturteilsfragen, die darin besteht, dass die Subjekte . Theorieunterricht und Vorbereitung auf die theoretische Prüfung: Um zur theoretischen Prüfung überhaupt zugelassen zu werden, müsst Ihr den Besuch über die geforderte Anzahl Theoriestunden nachweisen können.Leitfaden zur Reflexion des gesamten Praktikums.
Merkblatt für die Fahrlehrerprüfung
Zu den elementaren Grundlagen, die im Zuge der .
manuelle
Der theoretische Unterricht für den Fahrradführerschein bildet die Grundlage für den anschließenden praktischen Teil. Handlungsorientierte Unterrichtsmethoden.“ (Wallrabenstein, .Egal, ob Sie eine theoretische oder empirische Hausarbeit verfassen, sind gewisse Aspekte eine bei allen wissenschaftlichen Arbeiten identisch: die Titelseite, das Inhaltsverzeichnis, eine Differenzierung der Gliederungsebenen, die Darstellung von Tabellen und Abbildungen und das Literaturverzeichnis. Wissenswertes über die häufigsten Medikamente, die euch in der Therapie begegnen. Natürlich geht ohne Theorie nichts: Um den Luftfahrerschein zu erhalten, werden vom Gesetzgeber mindestens 60 Theoriestunden bei Segelflug und 80 Theoriestunden bei Ultraleicht vorgeschrieben.Wenn während der Prüfung nur zwei dieser Fragen falsch .
- Thinkpad X1 Carbon 11 | Lenovo System Update for Windows 11, 10 & 7 (32-bit, 64-bit)
- Thomas Kaufmann Kritik : Luther und die Juden
- Theo Lingen Tochter Tot _ Komödie mit Hansi Kraus und Theo Lingen
- The Weeknd Tickets 2024 | The Weeknd Tickets, 2024 Concert Tour Dates
- Things To Do In Franz Josef : Franz Josef Glacier / Kā Roimata o Hine Hukatere
- Thermoregulation Funktion : Physiologie Funktion Wärmehaushalt
- Thermovorhang Für Haustüren , Thermo Türvorhänge online kaufen
- Thomaduo Kombipräparat | Premium Vitamin D3+K2 Tropfen
- Theo Bananenbrot Lyrics : THEO (Der Bananenbrot Lyrics 歌词-Tobee&Ivan Fillini&DJ
- The Ring Horror , The Ring Wiki
- Thomas Heinrichsmeier _ Sonnenscheinschule
- The Witcher 3 Ultimate Mods | Ultimate Yrden Mod
- The Scottish Mythology | Ultimate Mythology Blog
- They Came Together Film 2014 , They Came Together: Trailer & Kritik zum Film