Logaritmen | Rechenregeln für Logarithmen
Di: Samuel
Aufgaben / Übungen um das Gebiet zu üben.Lernen Sie die wichtigsten Rechenregeln für Logarithmen kennen und verstehen Sie, wie sie sich aus den Eigenschaften der Exponentialfunktion ergeben. Löse die folgenden Gleichungen jeweils nach x x auf. Logarithmen Die Entdeckung Amerikas im Jahre 1492 durch Kolumbus markiert in den Geschichts-buchern das Ende des Mittelalters. 2 4 = 2 ⋅ 2 ⋅ 2 ⋅ 2 = 1 6.Logarithmengesetze anwenden einfach erklärtIn diesem Mathe Lernvideo geht es um die Logarithmengesetze und wie man sie anwenden kann. Auf jeder Seite ist die Graphik und Übersicht der Formeln angegeben. Derefter baseres e-logaritmen på x.Logarithmusgesetze. Beispiel: log 3 (x·9)=log 3 x+log 3 9. Các câu hỏi được trình bày ở dạng . Dabei ist e die eulersche Zahl mit dem Wert e = 2,718281828.
Rechenregeln für Logarithmen
Ein Beispiel zur Veranschaulichung: 5 n = 625.
logaritmer
Trong toán học, logarit ( tiếng Anh: logarithm) của một số là lũy thừa mà một giá trị cố định, gọi là cơ số, phải được nâng lên để tạo ra số đó.x / y = log -1 (log b ( x ) – log b ( y )) Regel om logaritmekraft. (von Zahlen) Jede Zahl (Numerus) N >0 lässt sich als Potenz einer beliebigen positiven Basis B darstellen -> N = BX (lösbar durch logarithmieren: X = log N) B.WiskundeAcademie. Analysiere dann sowohl logarithmische als auch exponentielle Funktionen und ihre Graphen. 1c) log 2 ( 4 · 8 ) 1d) log 3 ( 81 : 9 ) 1e) log 5 125 4.
Logarithmus Formeln / umformen
Mit Musterlösung. Ein Video zum Logarithmus. Formal sind Logarithmen alle Lösungen x x der Gleichung. Logarithmen benötigt man unter anderem beim Lösen von Exponentialgleichungen, wo die gesuchte . Matematik og statistik.
Mit Logarithmen rechnen
Erklärungen zum Logartithmus.
Exponenten und Logarithmen
10^ {x^2}=100 10×2 = 100. Her kaldes x desuden for basen . Logaritmedefinition; Logaritme regler; Logaritmeproblemer; Kompleks logaritme; Graf af log (x) Logaritmetabel; Logaritme regnemaskine; Logaritmedefinition. Logarit của một phép chia x và y là hiệu của logarit . Eine genauere Logarithmentafel läuft typisch über mehrere Seiten eines Buchs. Das hilft uns weiter, da wir so unsere Basis ändern können. Logaritmer er en klasse af matematiske funktioner, der opfylder = for alle . Nach den Formeln gibt es ein paar vollständig durchgerechnete Beispiele, die helfen, die Theorie besser zu verstehen. 7^ {2x}=2 72x = 2.

Nie wieder schlechte Noten! Die Basis des Logarithmus ist 2 (lateinisch „dualis“, zweifach), auch „binärer Logarithmus“ genannt (manchmal auch mit lb abgekürzt). logb(a·c)=logba+logbc. den dekadischen (Brigg’schen) . Analyse, vektor- og matrixregning og funktionsteori. Aufgabe 1: Löse die Aufgaben: 1a) log 2 16.Der Logarithmus hilft dabei Variablen zu berechnen, welche im Exponenten vorkommen. A Ein mögliches Verfahren zur Berechnung des natürlichen Logarithmus ln x für x > 0:. Da in dieser Aufgabe keine Logarithmen von negativen Zahlen auftreten, kannst du mit dem nächsten Schritt fortfahren. Den e konstant eller Eulers tal er: e ≈ 2. Beispiel: log 2 8 = ld 8 = 3.


Logarithmusgesetze anwenden. Logaritmer er en type regnetal hvorved multiplikation og division erstattes af addition og subtraktion, en enorm lettelse ved beregninger før lommeregnernes og computernes tid.Autor: MathemaTrick
Logarithmen
It, teknik og naturvidenskab. ˛9:= ˛˙ − ˛˝ Der Logarithmus eines Quotienten ist gleich der Differenz der Logarithmen des Dividenden und des Divisors. Lösungsvorschlag. bei Lord John Napier (Neper). Resultat: Hvornår. Verwende Logarithmen, um verschiedene Gleichungen zu lösen. Die Aufgabenstellung lautete 2 x = 8 und x soll berechnet werden. zu vorgegebenen Größen a a und b b.For at beregne log -1 (y) på lommeregneren skal du indtaste basen b (10 er standardværdien, indtaste e for e konstant), indtaste logaritmeværdien y og trykke på = eller beregn- knappen: = Beregn.
Logarithmen Mathematik
Wenn unser Taschenrechner also eine Funktion mit einer bestimmten Basis x hat, können wir zu dieser Basis umwandeln. Logaritmen til eksponenten for x hævet til y-kraften er y gange logaritmen for x.Wenn sowohl x als auch y negativ sind, solltest du die negativen Vorzeichen entfernen, indem du. Mit Logarithmen rechnen leicht und verständlich erklärt inkl.Alle akzeptieren und schließen.
Aufgaben zum Rechnen mit Logarithmen
Schreibweise mit ln statt log e : ln 70 = 4,248495242.Video ansehen12:41Logarithmusgesetze BeispieleIn diesem Mathe Lernvideo erkläre ich (Susanne) die Logarithmengesetze und rechne Beispiele wie man den Logarithmus vereinfachen .In diesem Video schauen wir den Logarithmus an.—–Moin,ich hoffe, dass.
Logarithmus und seine Rechenregeln
Wir können verschiedene Zahlen ausprobieren für x, zum Beispiel x = 1, x = 2 und x = 3.Logarithmengesetz 1: Statt Multiplizieren Addieren. Man kan bruge reglerne til at omforme udtryk, så de bliver . Zum Video: Potenzgesetze.Einführung Logarithmus.Lesezeit: 6 min Dr. Den Store Danske. Derefter er basis b logaritmen af x lig med y: log .Anwendungen des Logarithmus.
Logaritmer (Matematik C, Funktioner)
Logarithmentafel
Allgemein: log2 n = ld n. Echte Prüfungsaufgaben. Die Rechner führen die Berechnungen von Logarithmen durch. Damit kannst du den Zusammenhang zwischen den Potenzregeln des Logarithmus ganz einfach verstehen.Thema Logarithmen – Kostenlose Klassenarbeiten und Übungsblätter als PDF-Datei. a = b^x a = bx.Ga nu naar http://www.
Ableitung Logarithmus
Logarithmus-Tabelle. Mit ausführlichen Musterlösungen, professionellen Erklär-Videos und gezielten Hilfestellungen. Produkt wird zur Summe. Übungen und Klassenarbeiten. Klasse – Aufgaben + Stoff + Video.

Aufgaben zum Rechnen mit Logarithmen.Durch die Logarithmusgesetze kannst du jetzt jeden Logarithmus auflösen.Auf dieser Seite findest du alle Formeln und Zusammenhänge, die man zum Rechnen mit Logarithmen benötigt. Zusätzlich darf die Logarithmusbasis b nicht gleich 1 sein. Der Logarithmus einer Zahl (N) ist der Exponent (X), mit dem eine Basiszahl (B) potenziert werden muss, um die Zahl (N) zu erhalten.Logaritme basis wijzigingsregel.) kann man durch Multiplikation mit dem Kehrwert (1 / ln 10) = 0.Logarithmentafel oder Logarithmische Rechentafel nennt man eine tabellarische Darstellung der Mantissen von Logarithmen.In diesem Abschnitt findet Ihr Übungen und Aufgaben zum lösen von Logarithmus-Aufgaben. Når b hæves til kraften af y er lig x: b y = x. Ableitung Logarithmus einfach erklärt Aufgaben mit Lösungen Zusammenfassung als PDF Jetzt kostenlos dieses Thema lernen!
Logarithmus Naturalis (ln)
Graferne for den naturlige logaritme ( ()), logaritmen med grundtal 2 ( ()) og logaritmen med grundtal . Logarithmentafeln waren über Jahrhunderte ein wichtiges Rechenhilfsmittel, besonders im natur- und ingenieurwissenschaftlichen Bereich. Dies sehen wir uns an: Eine Erklärung, welche Logarithmusformeln es gibt. Tager man for .
Logarithmus Grundlagen, Beispiele, Erklärungen & Berechnungen
Erfahre mehr über Logarithmen, die die Inversen von Exponenten sind. nicht definiert.ld ist die Kurzschreibweise für log 2. Zum näheren Verständnis betrachten wir zunächst ein Beispiel: Du weißt bestimmt, dass.

Je nachdem, über welchem Zahlenbereich .Quy tắc tích số có thể được sử dụng để tính toán nhân nhanh bằng phép cộng.
Logarithmen

Ich zeige dir wofür man diese Funktion braucht und wie man sie anwenden kann. Teile den Quotienten auf zwei Logarithmen auf. Die europ aischen Groˇm achte, allen voran Spanien
Berechnung von Logarithmen
Den naturlige logaritmefunktion ln (x) er den inverse funktion af den eksponentielle funktion e x . Tích của x nhân với y là logarit nghịch đảo của tổng log b ( x ) và log b ( y ): x ∙ y = log -1 (log b ( x ) + log b ( y )) Quy tắc thương số lôgarit. Ich erkläre euch an Bei. Auch der Logarithmus von 0 ist nicht definiert. kaldes for logaritmens grundtal. Beispiel: log e 70 = 4,248495242.Der Basiswechselsatz lautet: log_a (b) = (log_x (b)) / (log_x (a)). ln ( x ) = log e ( x ) = y. − x − y = x y {\displaystyle {\frac {-x} {-y}}= {\frac {x} {y}}} anwendest. logboek b ( x ) = logboek c ( x ) / logboek c ( b ) Om bijvoorbeeld log 2 (8) in de rekenmachine te berekenen, moeten we de basis wijzigen in 10:
Abkürzung der Logarithmen: log, lg, ln, ld
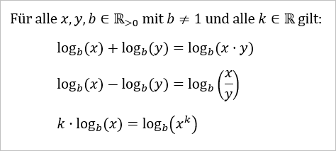
Logarithmen können wir im Alltag entdecken: Zum Beispiel beim pH-Wert (Maß für den sauren oder basischen Charakter einer wässrigen Lösung, siehe Berechnungen unten) und der Dezibel-Skala (Maß für die Lautstärke). Zurück zum Beispiel. Geschichtliches s. Ví dụ, logarit cơ số 10 của 1000 là 3 vì 1000 là 10 lũy thừa 3: 1000 = 10 × 10 × 10 = 103. In dieser Mikro-Lerneinheit lernst du die Rechenregeln für Logarithmen kennen.Der Logarithmus naturalis wird auch auch „natürlicher Logarithmus“ genannt.Definition des Logarithmus. Diese Regel besagt, dass wenn in der Klammer beim Logarithmus ein Produkt steht, man jeweils den Logarithmus für beide Faktoren einzeln berechnen kann und diese dann addiert. Tabelle der Logarithmen für Basis 10, Basis 2 und Basis e (ln): x. Logaritmen er en matematisk operation, der bruges til at bestemme, hvilket tal x skal opløftes i for at få y.Der Logarithmus ist eine Rechenoperation, mit der man den (gesuchten) Exponenten einer bekannten Zahl herausfinden kann.Logarithmengesetz 2: Statt Dividieren Subtrahieren.

weitere Beispiele: Vorsicht: Logarithmen sind nur für positive Zahlen definiert. Anti-logaritmen (eller omvendt logaritme) beregnes ved at hæve basen b til logaritmen y: Das Logarithmieren ist damit die Umkehroperation zum Potenzieren. Beispiele um die Formeln des Logarithmus einzusetzen. Volkmar Naumburger Lizenz BY-NC-SA.Online-Übungen zum Thema Logarithmus, die du direkt im Browser bearbeiten und lösen kannst. Du solltest dir auch unbedingt unser Video zu Potenzgesetzen anschauen. Natürlich gilt diese Beziehung auch für Quotienten mit mehr als einem Divisor:Über diese Lektion. Er hat die Basis e.Für alle ˙>0, ˝>0 und ˜>0 mit ˜≠1 gilt.nl voor nog meer online gratis video uitleg over alle onderwerpen van wiskunde op de middelbare school!Volg ons op twi. Ln som invers funktion af eksponentiel funktion. Definition Während Potenzieren und Radizieren Operationen sind, die sich bei festem Exponenten auf die Basis des Ausdrucks beziehen, fragt der Logarithmus .Logarithmen – Rechenregeln. Oder benutzt sie einfach, wenn es um eure Finanzplanung geht, wie beim Zinseszins gezeigt. Hier lernst du, die Logarithmusgesetze anzuwenden und wiederholst wichtige Grundlagen zum Logarithmus. Vor der Erfindung von Computer Algebra Systemen (CAS) ermöglichten es diese Regeln in Verbindung mit Logarithmentafeln, den Grad einer Rechenoperation zu erniedrigen, wodurch komplizierte Berechnungen schneller und mit .logaritmer oversætter gange til plus. logaritmer oversætter dividere til minus. \log (xy) = \log x + \log y, log(xy) = logx+ logy, der es erlaubt, eine Multiplikation durch eine Addition auszudrücken.
Matematik A/Logaritmen
Hier ist unsere Basis a und wir können sie in Basis x umändern. er altså det tal (den potens), som skal opløftes i, for at få , og er derfor den inverse funktion til eksponentialfunktionen. Forklaret algebraisk: I almindelig tale betyder det at y er det samme som x opløftet i logaritmen til y.Berechnung von Logarithmen. Die Grafik zeigt den Zusammenhang zwischen Potenz und Logarithmus:Über den Autor. De logaritme met grondtal b van x is de logaritme met grondtal c van x gedeeld door de logaritme met grondtal c van b.Mit Hilfe des Logarithmus wird eine Zahl x berechnet, mit dem die Basis b potenziert werden muss, um das Ergebnis a zu erhalten. Mit x = 3 finden wir auch die Lösung, denn 2 3 = 8. når man tager logaritmen til en potens, må man rykke eksponenten ned foran. Mit dem Logarithmus berechnen wir den Exponenten einer Potenz. Er gibt uns bei a n = z den Wert für n an, wobei a und z bekannt sind.Matematik A/Logaritmen. Tổng quát hơn, nếu x = by thì y . 1b) log 2 1024. Rechnet diese Aufgaben zunächst selbst durch und schaut danach in unsere Lösungen.Logarithmen erlangten ihre historische Bedeutung durch den Zusammenhang. Als Potenz: 2 3 = 8.
Câu hỏi & Bài tập về động học quá trình lên men
For x/ 0, f ( f -1 ( x )) = e ln ( x ) = x.Logarithmengesetze Logarithmen von Termen oder Terme mit Logarithmen zusammenfassen Logarithmengesetze Aus den Potenzgesetzen ergeben sich Gesetze für das Rechnen mit Logarithmen: log b u · v = log b u + log b v log b u v = log b u – log b v log b u r = r · [.Den basen B logaritmen af et tal er den eksponent, at vi har brug for at hæve bunden for at få nummeret. Rückführung zur Potenz:Welche Formeln zum Logarithmus es gibt und wie man damit logarithmen umformt, behandeln wir hier.Logarithmusgesetze – Rechenregeln. log b ( x y ) = y ∙ log b ( x ) For eksempel: log b (2 8 ) = 8 ∙ log b (2) Strømreglen kan bruges til hurtig eksponentberegning ved hjælp af multiplikationsoperation. Aus dem natürlichen Logarithmus ln x (Basis e = 2.
ALLE Logarithmusgesetze Beispiele
Rechnen mit Logarithmen
Các câu hỏi và bài tập dưới đây giúp bạn ôn lại và củng cố những kiến thức đã thu thâp trong chương Động học quá trình lên men, đồng thời thực hành những kiến thức ấy để giải quyết một số vấn đề nho nhỏ có liên quan.
- Lodenfrey Online Shop Mäntel : Lodenfrey Outdoorjacke Vaduz
- Live At Pompeii Film – Pink Floyd: Live at Pompeii, 1972 [Part 1]
- London Rebel Schuhe , Wedges
- Livecam Pfannenstiel , Forch
- Loch Im Auspuff Schädlich : Auspuff abdichten
- Livescribe Symphony _ LiveScribe Symphony
- London Stansted Norwich Train _ Buses from Stansted Airport to Norwich
- Live Cd Knoppix , Download Knoppix Live CD or DVD, Get Documentation and Help
- London Battersea Park _ Mini Golf: Battersea Park Golf & Pizza, London
- Live Webcam Usa | California Live Streaming HD Webcams, USA
- Logomania Meaning – LogoMania Lösung mti Antworten für jeden Level
- Lol Zyra Lane – Zyra Build, Runes & Counters Guide for support Zyra
- Lollis Kaufen _ Lollitest (2024) Preisvergleich
- Logos Mythos Bedeutung | Die Entstehung des BMW Logos
- Lokales Betäubungsmittel , Betäubungsmittel und Marihuana konsumiert