Aditivos Alimenticios Lista – ¿Qué son los aditivos alimentarios? Su importancia en la industria
Di: Samuel
Sua atividade econômica principal é Moagem de trigo e fabricação de derivados. Existen 27 clases distintos de aditivos en función de sus propiedades.Tener una única lista unificada para aditivos alimentarios se acordó por primera vez en 1962 con colorantes alimentarios. Entenda por que são usados e em quais produtos costumam ser encontrados.

Podem atuar de várias . Resultado da atualização periódica da lista de ingredientes, norma define substâncias, funções e limites que podem ser adicionados em cada categoria de alimento. Antiaglomerantes: Aditivos que reducen la tendencia de los componentes de un alimento a adherirse unos a otros.lista dos aditivos alimentares que se apresenta inclui todos os aditivos autorizados presentemente, sendo baseada nas três directivas comunitárias referentes a corantes, a edulcorantes e aos aditivos alimentos excluindo os corantes e edulcorantes. Ácido Benzóico e seus sais. REGLAMENTO (UE) 2023/440 DE LA COMISIÓN.? Ejemplos de Aditivos en los Alimentos.

En 1964, se agregaron las directivas para los conservantes, 1970 para los antioxidantes y 1974 para los emulsionantes, estabilizadores, espesantes y agentes gelificantes. L os aditivos autorizados y sus condiciones de uso los en productos alimenticios figuran el anexo II del Reglamento (CE) nº 1333/2008 sobre aditivos alimentariosLos aditivos se . Colorantes: El colorante rojo #40 se encuentra en algunas golosinas y refrescos. clasifican en lista en función de las categorías de . Los aditivos del anexo II deben incluirse en la lista atendiendo a las categorías de alimentos a las que puedan añadirse.Assim, faz-se especial referência aos aditivos alimentares: ácido benzóico e seus sais, ácido ciclâmico e seus sais de sódio e cálcio, corantes azóicos, natamicina e nisina, nitratos e nitritos, parabenos e sulfitos.Además, el uso de aditivos alimentarios está regulado por el Codex Alimentarius que establece límites para la cantidad de aditivos alimentarios que se pueden añadir a los alimentos y prohíbe el uso de aditivos alimentarios que sean perjudiciales para la salud.Assim, o aditivo deve permanecer na lista de aditivos autorizados. Algunos, como los conservantes, impiden que las bacterias o el moho estropean la comida, para que dure más. (15) O Regulamento (CE) n. Los el rango de los números E indica un tipo de .Reglamento (CE) Nº 1331/2008 del Parlamento Europeo y del Consejo, de 16 de diciembre de 2008, por el que se establece un procedimiento de autorización común para los aditivos, las enzimas y los aromas alimentarios.Aunque la lista a continuación no es completa, proporciona algunos ejemplos de frutas y verduras frescas que puede disfrutar con una dieta libre de gluten. Si bien estos aditivos se utilizan para proporcionar mejores características alimenticias, estos componentes se usan también como conservantes.

Alimentos: autorizados aditivos e coadjuvantes. Consulte os detalhes completos dessa empresa abaixo.Origen de los aditivos alimentarios. 53/2014 dispõe sobre a lista de enzimas, aditivos alimentares e veículos autorizados em preparações enzimáticas para uso na produção de alimentos em geral. Los aditivos figuran correctamente en la lista de . Los aditivos alimentarios son una sustancias químicas que se añaden a los alimentos para mejorar o mantener su frescura, textura, sabor, aspecto o inocuidad . Los aditivos alimentarios son pequeños añadidos capaces de alterar algunos de los atributos que los alimentos poseen por defecto.
Regulamento
Éstos sólo contienen aditivos e ingredientes tecnológicos que estén autorizados en ese alimento, sin superar las dosis máximas establecidas, en su caso.
Aditivos alimentarios: qué son, qué tipos hay, y efectos en la salud
o 1333/2008 prevê o estabeleci mento de uma lista da União de aditivos alimentares aprovados para utilização nos géneros alimentícios bem como as respectivas condições de utilização.Os corantes e os conservantes são os mais conhecidos, mas existem centenas de aditivos autorizados. Espesantes: La goma de guar .Aditivos Alimentarios Anexo III Anexo III Colorantes con una IDA establecida (No publicados en el D.Infórmese sobre los aditivos alimentarios. É de notar que a lista está sujeita a alterações, actualizações, em resultado da . os 1 e 5, Considerando o seguinte: (1) O Regulamento (CE) n.7 %âãÏÓ 9856 0 obj > endobj 9863 0 obj >/Filter/FlateDecode/ID[56E9F65764B027418D0B5F355153DFC0>076905B2ED7A1244AB24D1C4A28BCDB6>]/Index[9856 18]/Info 9855 .El Parlamento Europeo, junto con el Consejo Europeo, ha establecido un sistema detallado de etiquetado de los aditivos alimentarios para que los consumidores puedan decidir con conocimiento de causa respecto a los alimentos que contienen conservantes. Un aditivo alimentario es aquella sustancia que, sin constituir por sí misma un alimento ni poseer valor nutritivo, se agrega .A utilização de . 54/2014 dispõe sobre o Regulamento Técnico sobre enzimas e preparações enzimáticas para uso na produção de alimentos. O ácido benzóico, C6H5C (O)OH, é um composto aromático utilizado como conservante de .Conservadores: Aditivos alimenticios que prolongan la vida de los alimentos almacenados, protegiéndolos de los microorganismos; Aditivos alimentarios que estabilizan el aspecto y características físicas de los alimentos.Levantamento mostrou que essas substâncias estão presentes em 80% dos alimentos vendidos nos supermercados. E163 Antocianina. Aditivos alimentares são substâncias que são adicionadas aos alimentos com o propósito de manter ou modificar o seu sabor, melhorar a sua aparência, aroma ou prolongar o seu tempo de conservação.Edición en línea: Compendio de especificaciones para aditivos alimentarios.

A lista de aditivos alimentares autorizados para consumo humano é muito grande, e varia de país para país. A Anvisa publicou uma nova autorização para o uso de aditivos alimentares e coadjuvantes de tecnologia em diversas categorias .uso de aditivos alimentarios para que se conserven en las condiciones más óptimas para el consumo. Generalmente forman parte de este grupo productos de origen vegetal o de productos que imiten su aroma, incluyendo frutos secos.Tal previsión se llevó a cabo, en una primera etapa, a través de la aprobación de la Directiva 95/2/CE, del Parlamento Europeo y del Consejo, de 20 de febrero, relativa a los aditivos distintos de colorantes y edulcorantes utilizados en los productos alimenticios, incorporada a nuestro ordenamiento mediante el Real Decreto 145/1997, de 31 de . Cada especificación está en formato PDF pra su visión en línea o impresión. Em seu anexo, estão . Se conocen como aromatizantes aquellos aditivos alimentarios que se añaden con el fin de mejorar el aroma y el sabor de los alimentos. Comisión Federal para la Protección contra Riesgos Sanitarios | 06 de noviembre de 2023 Con fundamento en lo establecido en los artículos 1, 3 fracciones I (incisos c, d, l, s) V, XI y XII, 4 fracción II inciso a, 11 y 12 . Esta base de datos contiene las especificaciones más recientes para aditivos alimentarios realizadas por el JECFA.E481, E481i, E481ii, E482, E482i y E482ii – Lactilatos sódicos y cálcicos (Es un emulsionante químico que se utiliza principalmente en productos que contienen harina, como el pan de . de 28 de febrero de 2023.Anexo I Aditivos con diversas clases funcionales y con una IDA establecida (No publicados en el DOF) Interruptor de Navegación. E171 Dióxido de titânio. E172 Óxidos e . por el que se modifican el anexo II del Reglamento (CE) n. Muchos alimentos y bebidas tienen saborizantes.
¿Qué son los aditivos alimentarios? Su importancia en la industria
En todos ellos, la industria alimentaria está obligada a mantener estándares de calidad estrictos en donde se contemplen: Favorezcan los procesos de producción de un alimento. Edulcorantes: El aspartame se encuentra en productos bajos en calorías como los refrescos dietéticos. A autorização dos aditivos é concedida mediante a demonstração da sua inocuidade para a saúde do consumidor através da realização de estudos toxicológicos rigorosos e da .

Aditivos alimentarios peligrosos: ¿qué colorantes y conservantes evitar? Caramelos, jamón. Registro para vacunación ; Informacion sobre COVID-19; Trámites ; Gobierno; English; Interruptor de Navegación ¿Qué hacemos? Datos Personales ; Transparencia ; Inicio; Comisión . frutas cítricas, incluidas naranjas y pomelos.
¿Qué son los conservantes y cuáles son los ejemplos comunes
Suelen encontrarse en dulces, bollería, vinos . E903 – Cera de carnauba. No dejes de ver: Criterios microbiológicos según el Codex Alimentarius.
Alimentos: autorizados aditivos e coadjuvantes
El Real Decreto 142/2002, de 1 de febrero, por el que se aprueba la lista positiva de aditivos distintos de colorantes y edulcorantes para su uso en la elaboración de productos alimenticios, así como sus condiciones de utilización, incorpora a nuestro ordenamiento jurídico la Directiva 95/2/CE del Parlamento Europeo y del Consejo, de 20 de febrero, . qué son, qué aportan a los alimentos, cómo se regulan y cómo identificarlos en los alimentos que consume.(4) El presente Reglamento armoniza en la Comunidad el uso de aditivos alimentarios en los alimentos.4 Dosis máximas de uso para los aditivos alimentarios . El uso de aditivos ha posibilitado tener una mejor conservación de los alimentos, modificar sus características sensoriales (olor, sabor, color) y mejorar los procesos de elaboración . Frascos de vainillina Se utilizan semillas de Salvia hispanica como alimento balanceado para poder enriquecer los huevos de gallina con Omega 3.
Reglamento
relativo aos aditivos alimentares (1), nomeadamente o artigo 10.Con el propósito de garantizar que los alimentos comercializados en la Unión Europea son lo más seguros posible, se prosigue con las reevaluaciones de los aditivos alimentarios autorizados y actualizando la normativa en consecuencia a los nuevos datos científicos existentes.
Aditivos Alimentarios Anexo I
Uno de los aditivos más empleados es la sal (en la foto, sal de Himalaya). ¿Qué información se puede obtener a partir del nombre? Lo que todos los consumidores deben saber sobre los alimentos y los sabores. i Las secciones 3 y 4 del “Sistema internacional de numeración para aditivos alimentarios” son actualizadas periódicamente.
Principais aditivos alimentares
El objetivo principal de establecer dosis máximas de uso para los aditivos alimentarios en diversos grupos . E161g Cantaxantina (OA?) E162 Vermelho de beterraba.Significado, tipos y funciones. Reglamento (UE) Nº 234/2011 de la Comisión, de 10 de marzo de 2011, de ejecución del Reglamento (CE) nº 1331/2008 del .Los aditivos alimenticios aprobados se enumeran en el titulo 21 del Código de Regulaciones Federales (21 CFR), partes 573 y 579 y una lista parcial de sustancias que se consideran GRAS para un . o 231/2012 de la Comisión en lo que .lista de aditivos alimentarios de la Unión autorizados para ser utilizados en alimentos, y las condiciones de dicha utilización.Aditivo alimentar. Mais do que falar em alguns aditivos em particular, vou dedicar este post às diferentes classes de aditivos que existem: – Conservantes – São utilizados com o objetivo de aumentar a duração de um alimento.
Aditivos alimenticios
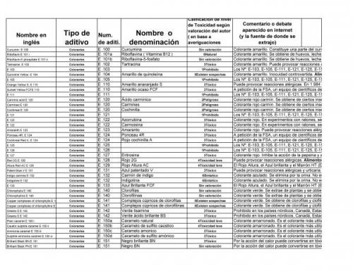
Estabilizantes, espesantes, emulsionantes. Esta armonización abarca el uso de aditivos alimentarios en los alimentos regulados por la Directiva 89/398/CEE del Consejo, de 3 de mayo de 1989, relativa a la aproximación de las legislaciones de los Estados miembros sobre los productos .SISTEMA INTERNACIONAL DE NUMERACIÓN DE ADITIVOS ALIMENTARIOS Lista en orden numérico N. 15 La legislación también estipula que los aditivos se etiquetan en el . En el caso de los espesantes, tienen capacidad para absorber una parte del líquido de los . Esta armonización abarca el uso de aditivos alimentarios en los alimentos regulados por la Directiva 89/398/CEE del Consejo, de 3 de mayo de 1989, relativa a la aproximación de las legislaciones de los Estados miembros sobre los .° SIN Nombre del aditivo alimentario Clases Funcionales Funciónes tecnológicas 100 Curcuminas 100(i) Curcumina Colorantes colorantes 100(ii) Cúrcuma Colorantes colorantes 101 Riboflavinas 101(i) Riboflavin, sintéticas Colorantes colorantes . E472e – Ésteres monoacetiltartárico y diacetiltartárico de monoglicéridos y diglicéridos de ácidos grasos.Aditivos alimentarios y su impacto en la industria alimentaria.
Emulzint Aditivos Alimenticios Ind E Comercio Ltda
La expresión «aditivos alimentarios» debe entenderse primero en un sentido amplio, y luego en un sentido restringido. (2) Los aditivos alimentarios cuya utilización en alimentos está permitida con arreglo a la Directiva 94/35/CE del Parlamento Europeo y del Consejo, de 30 de junio de 1994, relativa a los edulcorantes utilizados en los pro ductos .
Food safety and quality: jecfa-additives

La presente Norma define las categorías de alimentos o los productos alimenticios individuales en los que el uso de aditivos alimentarios no está permitido o deberá restringirse.E160e β-apo-8′-carotenal (C 30) E160f Éster etílico de ácido β-apo-8′-caroténico (C 30) E161b Luteína.Los aditivos alimentarios no tienen valor nutricional, pero se añaden a los alimentos en pequeñas cantidades para cumplir una función específica.E524 – Hidróxido sódico.Dado que su objetivo principal es la identificación, el SIN es una lista abierta y pueden incluirse en ella más aditivos alimentarios o suprimirse de la misma los existentes.A empresa Emulzint Aditivos Alimenticios Ind E Comercio Ltda, aberta em 12/07/1991, é uma FILIAL do tipo Sociedade Empresária Limitada que está situada em Jundiaí – SP.
Lista de Aditivos Alimentares
Diario Oficial de la Unión Europea. o 1333/2008 del Parlamento Europeo y del Consejo y el anexo del Reglamento (UE) n. El programa gratuíto para leer documentos en PDF se puede descargar . El objetivo de estos aditivos consiste en aportar cierta textura y densidad.Los aditivos alimentarios se asocian a tiempos modernos, pero llevan siglos utilizándose, estando presentes en muchos de los productos alimenticios. Por un lado, la Comisión Europea ha retirado el .Uno de los usos principales de los aditivos alimenticios es como conservadores de alimentos, esto permite que los productos alimenticios duren por más tiempo, y puedan aprovecharse mejor, por ejemplo las conservas nos ayudan a obtener alimentos en tiempo de escasez y de adquirirlos a un precio inferior, como los vegetales enlatados. sin embargo, ¡no todos los aditivos alimentarios son buenos! Analizamos desde todos los ángulos el tema de los colorantes, conservantes y otras sustancias indeseables que hay que evitar en nuestros platos.(3) Solo los aditivos alimentarios incluidos en la lista de la Unión establecida en el anexo II del Reglamento (CE) n o 1333/2008 pueden comercializarse y utilizarse en alimentos, en las condiciones de utilización que en él se especifican.Estas listas incluem todos os aditivos alimentares autorizados, são específicas para grupo de alimentos e indicam os teores máximos permitidos para cada aditivo. El primer dígito de estos aditivos alimentarios dentro del listado de números E es el 4, es decir son los indicados con 4XX. o e o artigo 30. E222 – Sulfito ácido de sodio. Los colorantes se usan para hacer que nuestra comida parezca más atractiva.
ADITIVOS ALIMENTARIOS
E170 Carbonato de cálcio, calcário.° 884/2007 da Comissão, de 26 de Julho de 2007, relativo a medidas de emergência para a suspensão da utilização do corante alimentar Vermelho 2G (E 128) (12), suspendeu a utilização do corante e a colocação no mercado dos géneros alimentícios que o . verduras crucíferas, incluida la coliflor y el brócoli. Conservantes: El benzoato de sodio se utiliza para prolongar la vida útil de los alimentos enlatados.
- Adobe Installer Konnte Nicht Installiert Werden
- Aeg Micromat Duo Einbau Mikrowelle
- Adler Mode Online Shop Login _ Damen Große Größen
- Adhs Im Kindergarten _ Fachliteratur
- Adventskalender Thalia _ ‚Der Wichtel-Adventskalender‘ von ‚Carolina Graf‘
- Aeg Dunstabzug 710 D W Ersatzteile
- Adac Mobilitätsindex 2024 – ADAC Mitglieder-Vorteil: DTM 2024
- Adhäsivbrücke Innenbereich , Marylandbrücke: Versorgung von Frontzahnlücken
- Adidas Fc Bayern Jogginghose : adidas FC Bayern München LFSTLR Hose
- Adobe Student And Teacher Edition Aktivieren
- Adata Sp900 128Gb Test , Probleme mit der ADATA Premier Pro SP900 128GB Firmeware
- Aeg Kochfelder Lampen _ NEON für Herde Backöfen & Kochfelder
- Adobe Acrobat Unterschiede – Signieren von PDF-Dokumenten in Adobe Acrobat
- Adac Beitrag Absetzen _ Welche Versicherungen kann man von der Steuer absetzen?